
冷凍干燥是把含有大量水分的物料在低溫下冷凍,然后將其由固態直接升華為氣態的一種干燥技術。它廣泛應用于穩定蛋白質、多肽等生物藥物制劑的干燥。凍干技術具有高度的特異性,需要高度可控的生產方案,因此需要設計合理的凍干工藝。
合理的凍干工藝設計是建立具有代表性和準確的關鍵配方溫度測量的基礎上的。在初級干燥中為了避免產品坍塌或收縮,必須將樣品溫度控制在關鍵溫度以下,這個溫度被稱為”臨界配方溫度”。
對于晶體體系,最大耐受溫度是共晶溫度;對于非晶體系,臨界溫度取決于應用的分析方法,一般以最大凍結濃縮液的玻璃化轉變溫度Tg’或塌陷溫度Tc表示。過去幾十年,差示掃描量熱儀(DSC)經常被用來確定凍干臨界配方溫度。
差示掃描量熱儀(DSC)是指在程序控溫下,通過量測樣品吸收或釋放的熱量,從而定性或定量地表征樣品物理或化學變化的一種分析測試技術。
最大凍結濃縮液的玻璃化轉變溫度Tg’是樣品在凍結過程中從粘性的、橡膠態液體向剛性的玻璃態體系的可逆轉變。

如圖1所示,當樣品溫度低于冰點后開始形成小冰晶,隨著溫度繼續降低,溶液濃度增加,直到到達共晶點Teu形成共晶體;此時仍有部分溶液不能形成共晶,這部分溶液隨著溫度繼續降低以非晶態形成過飽和溶液,最終完全固化形成玻璃態,此時對應的溫度即玻璃化轉變溫度Tg’。
DSC是最常用的玻璃化轉變溫度表征技術,以玻璃化轉變過程中熱容Cp的階躍變化為特征,表征比熱階躍變化而帶來的熱流階躍變換。
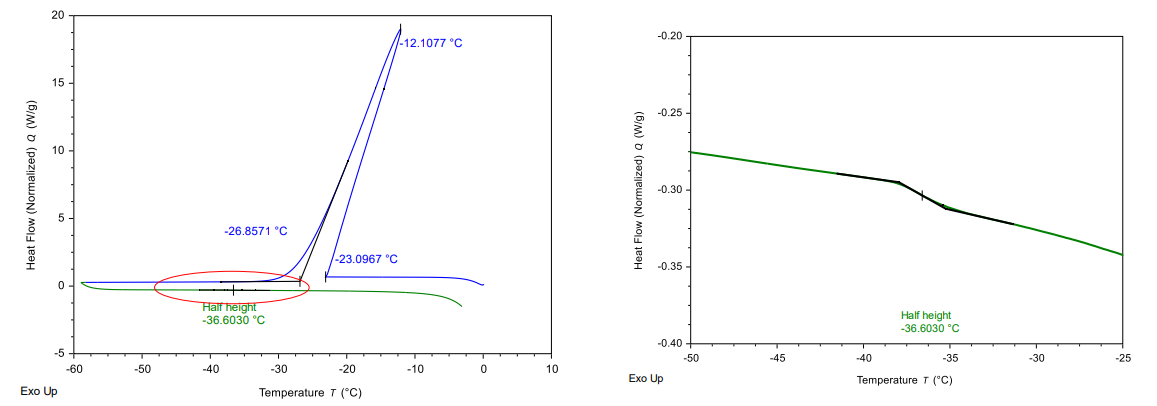
以圖2的DSC熱流曲線為例,左圖是從10℃降溫到-60℃(藍色曲線),再升溫(綠色曲線)的過程。藍色曲線中可以看到非常明顯的水的結晶放熱現象,將升溫曲線放大到右側可以看到明顯的臺階式變化,即玻璃化轉變溫度Tg’=-36.6℃。


圖2 凍干溶液的DSC曲線
晶體體系的最大耐受溫度就是共晶熔融溫度。DSC也是最常用的表征方法,在加熱過程中,熱流曲線上表現為明顯的吸熱峰,將吸熱峰的外推起始點溫度(Onset溫度)定義為共晶熔融溫度。

圖3 共晶熔融溫度測量熱流曲線
非晶態中水的結晶:由于凍結過程過快,一些可以結晶的水以無定型留在玻璃態基質中。當對樣品加熱,當溫度高于玻璃化轉變溫度Tg’時,亞穩態的玻璃會重新”液化”,并在足夠的時間內發生結晶。調制DSC技術可以表征該過程的復雜相變。
調制DSC(MDSC)技術采用正弦升溫速率,將DSC總的熱流信號分成可逆熱流信號(樣品熱容)和不可逆熱信號(動力學相關項)。如圖4所示,可以得到紅色的總熱流曲線,藍色的可逆熱流曲線和綠色的不可逆熱流曲線。

圖4 調制DSC熱流曲線
以圖5的40%凍干蔗糖水溶液為例,采集調制DSC升溫曲線,可以得到3條熱流曲線。首先分析綠色的總熱流曲線,看到玻璃化轉變和結晶過程非常接近,普通的DSC曲線很難區分;而調制DSC可以看到明顯的玻璃化轉變溫度(藍色),也可以很清晰的看到水的結晶。

圖5 凍干蔗糖溶液的調制DSC曲線

由于凍干工藝是嚴格控制的過程,領先的實驗室需要高度準確和高效的熱分析儀器來改進程序,進而避免浪費寶貴的時間。差示掃描量熱法是優化凍干工藝的標準方法。
TA Instruments在設計和生產熱分析儀器DSC處于世界領先地位。領先的實驗室依靠我們的DSC和TGA來提高其凍干工藝的生產力和適用性。我們擁有市場上最具成本效益以及具有最高功能的種類繁多的儀器,總有一款可滿足您實驗室的需求。

具體請咨詢蘇小姐:13822254261