這幾年,隨著疫情的逐步發展,越來越多的人意識到了免疫力才是維持健康的最終武器。進入到后疫情時代,大家開始要比拼免疫力了!而比拼免疫力,簡單來講就是比拼“免疫細胞”。
目前全球各地免疫細胞治療及干細胞治療臨床研究如火如茶的發展,如CAR-T、CAR-NK、TIL、HSC、MSC等等,健康管理和科學研究已經進入免疫細胞的時代。
人體內有大量免疫細胞存在,主要的免疫細胞有NK細胞、T細胞、B細胞、吞噬細胞等。它們對細菌、病毒以及癌細胞具有強大的殺傷力,同時它們還奉行著“非我族類統統殺掉”的原則。
當免疫細胞消滅入侵的有害物時(即排異反應),人才會不生病。當免疫細胞發揮保護自身組織功能和結構穩定,清除衰老細胞,即可以達到抗衰老的目的。
NK細胞又稱自然殺傷細胞(natural killer cell,NK細胞),是機體內重要的免疫細胞。NK細胞形態上屬于大顆粒淋巴細胞,來源于骨髓,是除T細胞、B細胞之外的第三大類淋巴細胞,約占血液中所有免疫細胞(白細胞數量)的15%,屬于天然免疫系統的核心細胞,主要分布于外周血、肝臟和脾臟。
NK細胞是體內負責殺傷老化、受病毒感染、腫瘤等異常細胞的最主要“戰士”。并且,在面對癌細胞時,NK細胞不需要其他細胞的激活與致敏,便能直接識別并殺死癌細胞,因此,也被稱為人體抗癌第一道防線。
介紹完NK細胞的重要性,接下來我們來聊聊,NK細胞療法臨床研究中最重要的步驟之一,NK細胞體外培養。

美天旎NK MACS®培養基提供了從各種來源,包括外周血單個核細胞(PBMCs)或分離的NK細胞,激活和擴增人類自然殺傷(NK)細胞的完美解決方案。配方成分明確的NK MACS ®培養基能夠體外培養擴增功能齊全的NK細胞,為任何下游應用做好準備。
優越、高效的NK細胞擴增
完全無異物添加(Xeno-Free)
減少非NK細胞生長,如B-、T- 和DC細胞
有科研級和GMP級產品供選擇
NK MACS Medium + 5%human AB serum+ IL-2 (500IU/ml)

NK細胞擴增效率(from PBMCs)
外周血單個核細胞 (PBMCs) (n=3),輔以5%AB血清和500IU/mL的IL-2,NK MACS ®培養基中的NK細胞顯示更佳的生長擴增。

擴增后細胞產品的組成(from PBMCs)
PBMC擴增14天后的細胞組成。NK(CD3-CD56+)、T細胞(CD3+)、NKT(CD3 + CD56 +)和其他細胞(CD3-CD56-)。
NK MACS Medium + 5%human AB serum+ IL-2 (500IU/ml)

NK細胞擴增效率
分離的NK細胞 (n=3),輔以5% AB血清和500 IU/mL的IL-2,NK MACS ®培養基中的NK細胞顯示更佳的生長擴增。
NK MACS Medium + 5%human AB serum+ IL-2 (500IU/ml)

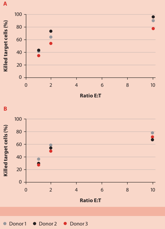
NK細胞從(A)PBMCs或(B)分離的NK細胞開始在NK MACS ®培養基中擴增9天,并通過流式細胞術分析不同效應靶比例(E:T)下對K-562細胞的細胞毒性。
|
貨號 |
產品名稱 |
規格 |
|
130-114-429 |
NK MACS Medium |
500mL |
|
130-097-744 |
Human IL-2 IS, premium grade |
10µg |
|
130-095-764 |
Human IL-15, premium grade |
25µg |
|
130-092-657 |
NK Cell Isolation Kit, human |
1×10? total cells |
|
170-076-356 |
NK MACS GMP Medium (Phenol Red) |
2000mL |
另有GMP級別的細胞因子。廣州東銳科技有限公司是美天旎的授權代理商,如需咨詢相關產品請聯系產品經理楊先生:13822254353。
數據來源:默天旎貿易(上海)有限公司
Miltenyi Biotec | Biotechnology Company | 中國 https://www.miltenyibiotec.com/CN-en/
—— END ——